A Modified Azimuthal Equidistant/Stereographic Projection

General discussion of map projections.
PeteD
Posts: 261
Joined: Mon Mar 08, 2021 9:59 am

Re: A Modified Azimuthal Equidistant/Stereographic Projection

Post by PeteD »

Milo wrote: Thu Nov 11, 2021 5:35 pm You're better off asking about angle distortion directly.
OK. In that case, what I meant to say, rephrased in terms of angular deformation rather than scale, was that by replacing the azimuthal equidistant with the conic equidistant and setting the outer standard parallel to the boundary latitude, the boundary parallel becomes free of angular deformation. This means that the lobes don't need to be stretched in order to line up, so you get equal-area lobes that are free of angular deformation along their central meridians and have significantly reduced angular deformation along their other meridians.
Milo wrote: Thu Nov 11, 2021 5:35 pm
PeteD wrote: Thu Nov 11, 2021 12:51 pm Is the scale along the central meridians of the lobes the same as the scale along the meridians of the azimuthal equidistant part?
Yes.
In that case, this statement of mine:
PeteD wrote: Mon Nov 08, 2021 7:32 am From the information in your link, it looks like the fundamental difference with respect to the Bartholomew tetrahedral projection is how it solves the problem that "parallel lengths do not coincide at the boundary latitude on the pristine Lambert [or azimuthal equidistant] and Bonne/Werner projections ... thus parallels must be lengthened in the lobes ..."

As far as I understand, in Milo's projection, the spacing of the parallels in the lobes is "rescaled to make the projection equal-area beyond the equator" at the expense of correct scale along the central meridians of the lobes, whereas in Bartholomew's projection, the spacing of the parallels in the lobes is unmodified for correct scale along the central meridians at the expense of equal-area lobes.
is false and your projection was simply the Bartholomew tetrahedral but interrupted differently, just as mine was simply the Bartholomew regional but interrupted differently. Is that right?
Milo wrote: Thu Nov 11, 2021 5:35 pm If angle distortion does not specifically interest you, then the details of scale ... also aren't that important.
This is probably true for most projections, but the inner hemisphere of your projection is the azimuthal equidistant, which is defined by two properties:

1. it's azimuthal; and
2. it has correct scale along all straight lines that go through its centre (i.e. along all meridians in polar aspect).

On the other hand, it's only free of angular deformation at a single point, so I'd say that for the azimuthal equidistant, scale along the meridians is generally of greater interest than angular deformation.

Note that Tobias's link implies that the lobes of the Bartholomew tetrahedral aren't generally considered to be equal-area because they're too big relative to length of the meridians in the azimuthal equidistant part of the projection. Of course, it would be equally valid to consider the lobes to be equal-area (by changing the nominal scale), but then the azimuthal part can no longer be considered to be equidistant.
Milo
Posts: 291
Joined: Fri Jan 22, 2021 11:11 am

Re: A Modified Azimuthal Equidistant/Stereographic Projection

Post by Milo »

PeteD wrote: Fri Nov 12, 2021 1:18 amOK. In that case, what I meant to say, rephrased in terms of angular deformation rather than scale, was that by replacing the azimuthal equidistant with the conic equidistant and setting the outer standard parallel to the boundary latitude, the boundary parallel becomes free of angular deformation. This means that the lobes don't need to be stretched in order to line up, so you get equal-area lobes that are free of angular deformation along their central meridians and have significantly reduced angular deformation along their other meridians.
Okay, fair enough.

That is indeed a flaw of my projection, and I agree that yours is better in that regard.

You can tell in my projection that the entire outer hemisphere is moderately deformed with continents having more east-west stretching than they should. I possibly could have found some way to mitigate that, but this was just a random idea I cobbled together on a lark.
PeteD wrote: Fri Nov 12, 2021 1:18 amyour projection was simply the Bartholomew tetrahedral but interrupted differently, just as mine was simply the Bartholomew regional but interrupted differently. Is that right?
Maybe so, but I'm not familiar with the Bartholomew tetrahedral projection, so I couldn't say. Wikipedia doesn't have an article on it.

The best information I could find on it is that it uses the Stabius-Werner II projection for the lobes, and that the Stabius-Werner II projection is a special case of the Bonne projection, which Wikipedia does have some formulae for. I could maybe try to sort through those and figure out if they match later, but I'm kinda sick right now, so I'm not feeling up to it.
PeteD wrote: Fri Nov 12, 2021 1:18 am
Milo wrote: Thu Nov 11, 2021 5:35 pmIf angle distortion does not specifically interest you, then the details of scale ... also aren't that important.
This is probably true for most projections, but the inner hemisphere of your projection is the azimuthal equidistant, which is defined by two properties:

1. it's azimuthal; and
2. it has correct scale along all straight lines that go through its centre (i.e. along all meridians in polar aspect).

On the other hand, it's only free of angular deformation at a single point, so I'd say that for the azimuthal equidistant, scale along the meridians is generally of greater interest than angular deformation.
As I said, scale along the central meridians of the lobes is the same in the scale of the azimuthal equidistant inner hemisphere, so in the terms that the azimuthal equidistant projection cares about, scale is correct as can be.
PeteD wrote: Fri Nov 12, 2021 1:18 amNote that Tobias's link implies that the lobes of the Bartholomew tetrahedral aren't generally considered to be equal-area because they're too big relative to length of the meridians in the azimuthal equidistant part of the projection. Of course, it would be equally valid to consider the lobes to be equal-area (by changing the nominal scale), but then the azimuthal part can no longer be considered to be equidistant.
Really, gluing an equal-area projection on one hemisphere to a non-equal-area projection on the other hemisphere is a kind of dubious design decision to begin with. With a little more experimentation, I could probably make a projection which is equal-area all the way. Actually, I already tried one out at the same time I made my previous projection, but it was bad enough that I didn't bother uploading it. I have an idea on how to do better, but actually implementing and testing it will probably have to wait until I'm feeling better. Or at least really really bored.

Naturally, since my last projection wasn't equal-area all the way through, being equal-area on the outer hemisphere wasn't really "the point" - it was just an arbitrary constraint to decide what thickness the lobes should be.
Milo
Posts: 291
Joined: Fri Jan 22, 2021 11:11 am

Re: A Modified Azimuthal Equidistant/Stereographic Projection

Post by Milo »

Milo wrote: Fri Nov 12, 2021 3:29 amWith a little more experimentation, I could probably make a projection which is equal-area all the way.
Okay, I'm feeling well enough to give this one a try.

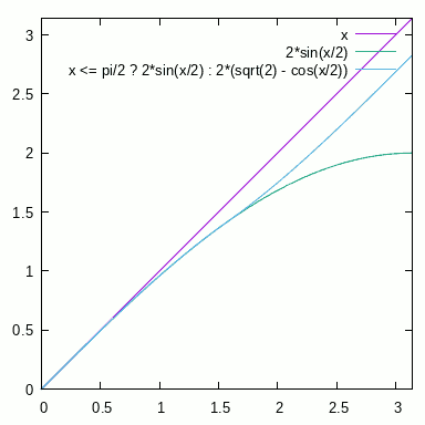
The principle for this is that the scale on the central meridians is, for the inner hemisphere, the same as the azimuthal equal-area projection (since it simply is the azimuthal equal-area projection). For the outer hemisphere, it's the same scale, reflected. To illustrate:
graph.png
graph.png (3.36 KiB) Viewed 1973 times
This is somewhat arbitrary, but it allows lining up with the azimuthal equal-area projection at the hemisphere boundary, while keeping distortion fairly low beyond that.
lobed-equal-area.png
lobed-equal-area.png (205.55 KiB) Viewed 1973 times
The regions near the equator look the worst, but some fiddling with the exact placement of the lobes might help.
daan
Site Admin
Posts: 993
Joined: Sat Mar 28, 2009 11:17 pm

Re: A Modified Azimuthal Equidistant/Stereographic Projection

Post by daan »

Milo wrote: Sun Nov 14, 2021 12:26 pm The principle for this is that the scale on the central meridians is, for the inner hemisphere, the same as the azimuthal equal-area projection (since it simply is the azimuthal equal-area projection). For the outer hemisphere, it's the same scale, reflected. To illustrate:
It needs another constraint to specify the projection. I presume the southern hemisphere’s parallels are also arcs of parallels?

Cheers,
— daan
daan
Site Admin
Posts: 993
Joined: Sat Mar 28, 2009 11:17 pm

Re: A Modified Azimuthal Equidistant/Stereographic Projection

Post by daan »

daan wrote: Sun Nov 14, 2021 3:04 pm
Milo wrote: Sun Nov 14, 2021 12:26 pm The principle for this is that the scale on the central meridians is, for the inner hemisphere, the same as the azimuthal equal-area projection (since it simply is the azimuthal equal-area projection). For the outer hemisphere, it's the same scale, reflected. To illustrate:
It needs another constraint to specify the projection. I presume the southern hemisphere’s parallels are also circular arcs?

Cheers,
— daan
daan
Site Admin
Posts: 993
Joined: Sat Mar 28, 2009 11:17 pm

Re: A Modified Azimuthal Equidistant/Stereographic Projection

Post by daan »

daan wrote: Sun Nov 14, 2021 3:04 pm
daan wrote: Sun Nov 14, 2021 3:04 pm
Milo wrote: Sun Nov 14, 2021 12:26 pm The principle for this is that the scale on the central meridians is, for the inner hemisphere, the same as the azimuthal equal-area projection (since it simply is the azimuthal equal-area projection). For the outer hemisphere, it's the same scale, reflected. To illustrate:
It needs another constraint to specify the projection. I presume the southern hemisphere’s parallels are also concentric circular arcs?

Cheers,
— daan
Milo
Posts: 291
Joined: Fri Jan 22, 2021 11:11 am

Re: A Modified Azimuthal Equidistant/Stereographic Projection

Post by Milo »

(You accidentally clicked "quote" instead of "edit". Could you please edit your original post and delete the other two? It's messy like this.)
daan wrote: Sun Nov 14, 2021 3:10 pmIt needs another constraint to specify the projection. I presume the southern hemisphere’s parallels are also concentric circular arcs?
Yes. It's the same principle as pseudocylindrical projections, but applied to an azimuthal rather than cylindrical base: the parallels are still in the same place, but shorter.

This was also true of my previous lobed projection in this thread. I still haven't checked if it's true of the Bartholomew tetrahedral.
PeteD
Posts: 261
Joined: Mon Mar 08, 2021 9:59 am

Re: A Modified Azimuthal Equidistant/Stereographic Projection

Post by PeteD »

Milo wrote: Fri Nov 12, 2021 3:29 am That is indeed a flaw of my projection, and I agree that yours is better in that regard.
On the other hand, yours avoids the interruption down the Bering Strait, which is preferable for a flat-earth projection. By the way, in case it wasn't clear, I only meant to provide reasons for a personal preference and didn't intend to imply that one projection is any "better" than another.
Milo wrote: Fri Nov 12, 2021 3:29 am As I said, scale along the central meridians of the lobes is the same in the scale of the azimuthal equidistant inner hemisphere, so in the terms that the azimuthal equidistant projection cares about, scale is correct as can be.
Yes, this is what I'd originally misunderstood. When you said that the lobes were equal-area, I thought you meant that the scale along the central meridians of the lobes had been compressed such that the lobes were equal-area relative to the scale that the azimuthal equidistant projection cares about. My mistake.
Milo wrote: Sun Nov 14, 2021 12:26 pm The regions near the equator look the worst, but some fiddling with the exact placement of the lobes might help.
Moving the transition from the azimuthal equal-area to the lobes further north might help. Again, if you're willing to put up with an interruption down the Bering Strait, then replacing the azimuthal equal-area with an equal-area conic (whether Lambert or Albers) should improve this significantly. You could also try the Spilhaus equal-area:

https://www.jstor.org/stable/986728
https://www.mapthematics.com/forums/vie ... =838#p2933
Milo wrote: Sun Nov 14, 2021 12:26 pm Okay, I'm feeling well enough to give this one a try.
Glad you're feeling a bit better!
Milo
Posts: 291
Joined: Fri Jan 22, 2021 11:11 am

Re: A Modified Azimuthal Equidistant/Stereographic Projection

Post by Milo »

PeteD wrote: Mon Nov 15, 2021 1:48 pmMoving the transition from the azimuthal equal-area to the lobes further north might help.
Well, the specific method I used for determining spacing of parallels doesn't really work unless the cutoff is at the equator. I could probably come up with something else, but it would have to be somewhat arbitrary and probably not very elegant.

I agree that it would be possible to raise the interruption might higher in the Atlantic and Pacific oceans, but on the other hand, the Indian Ocean is cutting it pretty close as is. So I'd need some way to handle multiple transitions at different latitudes, too.

I'm also considering trying a more elastic approach, but that would probably be reinventing the Hellerick triaxial projection that you linked earlier. I don't see any formulae for that one, but based on the graticule I feel like I have an idea of what it's doing and it's a fairly sensible idea, especially if you want a circular-looking flat-earth map (the "lobed projection with the gaps filled in" approach I used is really kinda cheating, a Hellerick-like approach is more elegant). A projection like this can't be equal-area, but it can be distortion-free (equidistant and conformal) along the chosen standard meridians.

If you relax the requirement of being centered on the north pole, there's a lot more options, but it gets a lot more complicated, too. Of course, without a neat equator dividing the hemispheres, it becomes hard to explain how the sun moves, but then we've already established basic observation of the sun is incompatible with flat-earth beliefs. A trick would be to just depict Afro-Eurasia, Indonesia-Australia, and the Americas each using a separate optimized projection, and then push them against each other at the narrow spots where those continents meet. (Africa can't be separated, unfortunately, because it has to line up at both the Isthmus of Suez and the Strait of Gibraltar. And the Red Sea and Bab-el-Mandeb, I guess.)
PeteD wrote: Mon Nov 15, 2021 1:48 pmAgain, if you're willing to put up with an interruption down the Bering Strait,
All things considered, widening the North Atlantic would be more reasonable than widening the Bering Strait. The path from Europe to eastern North America is already quite counterintuitive compared to how people usually see it on maps (even though it's actually correct! even if you're going to Florida, your route will take you pretty close to Newfoundland), so if you distort it a little more no-one will notice.
PeteD wrote: Mon Nov 15, 2021 1:48 pmYou could also try the Spilhaus equal-area:
I'm not seeing the point of that one?
Milo
Posts: 291
Joined: Fri Jan 22, 2021 11:11 am

Re: A Modified Azimuthal Equidistant/Stereographic Projection

Post by Milo »

Milo wrote: Fri Nov 12, 2021 3:29 am
PeteD wrote: Fri Nov 12, 2021 1:18 amyour projection was simply the Bartholomew tetrahedral but interrupted differently, just as mine was simply the Bartholomew regional but interrupted differently. Is that right?
Maybe so, but I'm not familiar with the Bartholomew tetrahedral projection, so I couldn't say. Wikipedia doesn't have an article on it.

The best information I could find on it is that it uses the Stabius-Werner II projection for the lobes, and that the Stabius-Werner II projection is a special case of the Bonne projection, which Wikipedia does have some formulae for.
Update: I looked through the Werner/Bonne projection, and yes, it does look like it's doing the same thing I am. So, reinvention of the Bartholomew tetrahedral confirmed.
Post Reply