Hello,
I have questions regarding some parameters used for coordinate transformation in Lambert conformal conic projection.
My research is mainly based on Snyder's "Map Projections - A Working Manual".
Said parameters are defined there by equation.
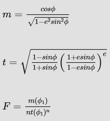
It is about m, t and F in the ellipsoidal transformation.
Is there a literal definition for those parameters?
(Other than "a constant" like I found e.g. for the F parameter.)
I'd be glad if someone could help me out. Thanks!
Lambert conformal conic projection parameters
Lambert conformal conic projection parameters
- Attachments
-
- parameters defined by equation
- Screenshot 2021-07-05 102500.png (14.96 KiB) Viewed 1739 times
Re: Lambert conformal conic projection parameters
Hello Tonili. Welcome to the forums!
I would not consider those values to be “parameters”. To me, parameters are free values you supply to configure the projection, in which case the parameters are normally given as e, φ₁, and φ₂. Depending on how you formulate the projection, you could replace either φ₁ or φ₂ with the cone constant n. You could optionally add another parameter φ₀ to adjust the vertical origin.
In your formulas, F is a constant whose evaluation depends only on the parameters, and so can be computed just once for the projection. The other two, m and t, are intermediate values used when projecting a point, with m happening to be the length of a radian of longitude at the latitude of the point you are projecting.
Does this help?
Cheers,
— daan
I would not consider those values to be “parameters”. To me, parameters are free values you supply to configure the projection, in which case the parameters are normally given as e, φ₁, and φ₂. Depending on how you formulate the projection, you could replace either φ₁ or φ₂ with the cone constant n. You could optionally add another parameter φ₀ to adjust the vertical origin.
In your formulas, F is a constant whose evaluation depends only on the parameters, and so can be computed just once for the projection. The other two, m and t, are intermediate values used when projecting a point, with m happening to be the length of a radian of longitude at the latitude of the point you are projecting.
Does this help?
Cheers,
— daan
Re: Lambert conformal conic projection parameters
Hi daan,
thanks for the quick reply, that already helps a lot.
Would you also consider t as an auxiliary quantity / intermediate value then?
I was wondering if it might be the isometric latitude, but it's not, right?
thanks for the quick reply, that already helps a lot.
Would you also consider t as an auxiliary quantity / intermediate value then?
I was wondering if it might be the isometric latitude, but it's not, right?
Re: Lambert conformal conic projection parameters
Yes, t is an intermediate value. The term “isometric latitude” has two different usages, the more rare one being the “conformal latitude”. t is not related to the more usual usage of “isometric latitude”, but the conformal latitude can be computed fairly directly from t.
Cheers,
— daan